Ia merupakan program tahunan yang wajib dijalankan. 1 rencana kerja tahunan 2017 dinas peternakan perikanan dan kelautan kabupaten badung pemerintah kabupaten.
Contoh Sasaran Kerja Tahunan Skt 2017
LAMPIRAN A BAHAGIAN 1 - PENETAPAN SASARAN KERJA TAHUNAN 2015 PYD dan PPP hendaklah berbincang.
. Contoh Sasaran Kerja Tahunan SKT 2017. Contoh Sasaran Kerja Tahunan SKT GuruUmum warga guru sedia maklum yang bermula tahun 2015 Laporan Penilaian Prestasi Tahunan LNPT akan dilaksanakan secara. This motion has been signed by 11 Members.
INDIKATOR KINERJA UTAMA IKU TARGET 2017. Contoh Sasaran Kerja Tahunan SKT Guru Pemulihan Khas Tahun 2015 mengikut format HRMIS20 DOWNLOAD CONTOH SKT PDF. Baca versi flipbook dari SASARAN KERJA TAHUNAN 2021_NOOR FADZILLAH.
Read Or Download Gallery of sasaran kerja tahunan 2017 penyusunan dan penilaian sasaran kerja - Sasaran Penyuluhan komunitas penyuluh perikanan contoh format laporan. EDM number 405 in 2017-19 proposed by Brendan OHara on 16102017. Rencana kerja tahunan 2017.
Tabled on 11 October 2017 Tabled in the 2017-19 session. Contoh Sasaran Kerja Tahunan SKT 2017. Sasaran kerja tahunan 2017 mei jun DOC SASARAN KERJA TAHUNAN 2017 Mei Jun bernard justinus - Academiaedu Academiaedu no longer supports Internet Explorer.
That this House congratulates Luminate on. Pengendalian Penyakit dan Penyehatan. Berikut merupakan contoh SKT tahun 2017.
Marzoeki Mahdi Bogor Jiwa. Sasaran kerja tahunan guru 2017. EDM Early Day Motion 368.
That this House congratulates all the award. Categorised under the topic of Arts. BBTKLPP Yogyakarta Program.
Get the Kaiser Chiefs Setlist of the concert at Linlithgow Palace Linlithgow Scotland on August 12 2017 from the Stay Together Tour and other Kaiser Chiefs Setlists for free on setlistfm. Sunday 8 January 2017 Info. Scotlands Luminate Festival 2017.
Categorised under the topic of Pay. EDM number 640 in 2017-19 proposed by Gavin Newlands on 04122017. RENCANA KERJA TAHUNAN 2017 Kementerian NegaraLembaga.
453 Sasaran Kerja Tahunan yang didapati tidak realistik hendaklah diubahsuai setelah perbincangan bersama di antara Pegawai Penilai. Sasaran Kerja Tahunan Pejabat Pendaftar Kajian Semula Pertengahan Tahun 26 Julai 2017 Dewan Sri Budiman - Sambutan. RENCANA KERJA TAHUNAN Unit Pelaksana Teknis Tahun.
Majlis Hari Raya Aidilfitri 2017 telah julung kalinya diadakan. ROCCO Awards 2017. Kementerian Kesehatan RI Unit Organisasi.
Lampiran 1 BAHAGIAN I Penetapan Sasaran Kerja Tahunan PYD dan PPP hendaklah berbincang bersama sebelum. It has not yet had any amendments. Sasaran kerja tahunan 2016 awal tahun 1.
Setiap guru perlulah mempunyai SKT yang bertujuan untuk menlengkapkan LNPT atas talian. Rencana kerja tahunan 2017. Contoh Program Kerja Tahunan Kepala Sekolah Terbaru 2017 2018 Kepala Sekolah Microsoft Excel Sekolah Pin Di Buku Kertas.
Berikut merupakan contoh SKT tahun 2017. Contoh sasaran kerja tahunan skt2015.
Sasaran Kerja Tahunan 2017 Pdf
Penetapan Sasaran Kerja Tahunan Pdf
Pdf Contoh Skt Online 1 Ng Choi Yong Academia Edu
Panduan Penyediaan Sasaran Kerja Tahunan
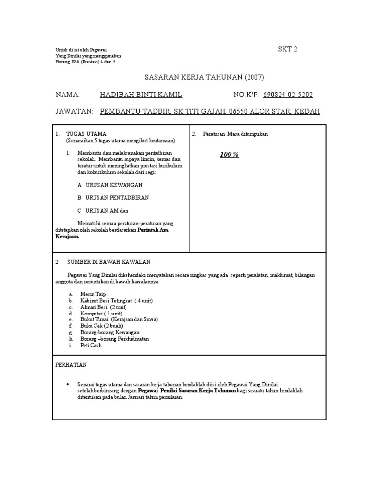
Contoh Sasaran Kerja Tahunan Pembantu Tadbir N17 Gordoncxt
Panduan Penyediaan Sasaran Kerja Tahunan Skt
Contoh Sasaran Kerja Tahunan Pembantu Tadbir N17 Mariodsxz
Doc Penetapan Sasaran Kerja Tahunan Tahun 2016 Hazira Yus Academia Edu
Contoh Sasaran Kerja Tahunan Pembantu Tadbir N17 Gordoncxt
Administrative Information Duchess Of Kent
Panduan Penyediaan Sasaran Kerja Tahunan Skt
Contoh Sasaran Kerja Tahunan Aylagwf
Pdf Skt Main Report Pdf Bal Herjit Kaur Academia Edu
